2017 2016 2015 2014 2013 2012 2011 2010
2009 2008 1998–2007
“Bromamine-T"
Rajenahally V. Jagadeesh, Puttaswarmy, and Satoshi Minakata
First Update In Encyclopedia of Reagents for Organic Synthesis 2026. DOI:10.1002/047084289X.rn01612.pub2

論文概要: 本稿ではBromamine-Tの有機合成反応における最新の活用例を紹介する。
“Oxidative α-Amination and Aziridination of Cyclic β-Ketoesters Using Aminobenziodoxolones"
Kazuki Kawanaka, Kotaro Muraoka, Kensuke Kiyokawa*, and Satoshi Minakata*
Org. Lett. 2025, 27, 13607–13613. DOI:10.1021/acs.orglett.5c04501

論文概要: 本研究では、様々な窒素官能基を有する超原子価ヨウ素化合物(アミノベンズヨードキソロン)を活用したβ-ケトエステルの酸化的アミノ化反応を開発した。NH2置換およびアルキルアミン由来のアミノベンズヨードキソロンを用いると求電子的α-アミノ化反応が進行し、一方、アリールアミン由来の反応剤を用いることで、縮環アジリジンが得られることを見出した。本手法により、様々なα-アミノ-β-ケトエステルを簡便に合成することが可能となり、それらは含窒素化合物合成における有用な中間体となる。
“Highly soluble cyclic dibenzophenazine heterodimer enabled by a tetra-functionalized building block"
Naohiro Hamba, Fumiya Ogura, Marc K. Etherington, Satoshi Minakata*, and Youhei Takeda*
Chem. Lett. 2025, 54, upaf216/1–5. DOI:10.1093/chemle/upaf216
*Open-access article"!

論文概要: 新規な四官能性ジベンゾ[a,j]フェナジン(DBPHZ)合成ブロックを開発し、これを活用することでDBPHZ環状ヘテロダイマーの合成に成功した。開発した四官能性DBPHZはジブロモ基および傘高いシロキシ基を有する。シロキシ基の導入により、合成中間体および標的化合物である環状ヘテロダイマーの有機溶媒に帯する溶解性が著しく向上し、これにより簡便な精製操作および系統的な光物性調査が可能となった。環状ヘテロダイマーは溶液中において、溶媒極性の変化に対して依存性の小さい局所励起発光を主に示し、薄膜状態では業種に起因した発光の長波長化を示した。本研究成果は、窒素含有π共役マクロサイクルの溶解性向上に関する分子デザインの有効性を実証するものである。
“Aggregation-Induced Energy Transfer Within a Donor–Acceptor–Donor Compound Featuring Hydrophobic Mesogenic Self-Assembling Units"
Ryota Usami, Koichiro Ishibashi, Nae Aota, Go Watanabe*, Yoshiya Omori, Tsuneaki Sakurai, Masaki Shimizu, Satoshi Minakata, and Youhei Takeda*
Chem. Asian J. Early View, e70426/1–8. DOI:10.1002/asia.70426
*Open-access article"!
*Invited as a part of a Honorary Collection on "In Memory of Professor Masahiko Iyoda"!

論文概要: 本研究では、疎水性スターバースト形メソゲンユニットを有する新規なドナー・アクセプター・ドナー型発光性有機化合物を設計・合成した。水環境下において当該分子は凝集し、その結果として効率的なエネルギー移動を示し、発光色の変調が可能であることを明らかにした。さらに、分子動力学シミュレーションにより分子の自己集合挙動を解析することで、凝集誘起型エネルギー移動機構が支持された。これらの成果は、将来的なセンシングやフォトニック材料といった応用において、機能性ナノ凝集材料を合理的にデザインするための有用な知見を与える。
“Synthesis and Photophysical Properties of Cyclic Homodimer of U‑Shaped Dibenzophenazinylene"
Naohiro Namba, Satoshi Minakata*, and Youhei Takeda*
Org. Lett. 2025, 27, 11480–11484. DOI:10.1021/acs.orglett.5c03358
*Invited as a part of a Special Issue on "π-Conjugated Molecules & Materials"!

論文概要: 新規な環状π拡張ヘテロアリーレンオリゴマーである環状U字形ジベンゾフェナジニレンのホモダイマーの合成および同定に成功した。NMR分光法およびDFT計算により、このマクロサイクルがユニークなトポロジーを有することが示唆された。合成された環状ダイマーは、溶液中および固体状態において、それぞれ鮮やかな緑色および黄色の蛍光を示した。注目すべきことに、当該ホモダイマーは酸応答性を示し、プロトン化に伴うturn-OFF型の発光消光挙動を示すことが明らかとなった。本ヘテロ芳香族マクロサイクルは、オプトエレクトニクス材料や超分子ホストーゲストシステムにおける有用なプラットフォームとなり得る。
“Synthesis of Solubility-Enhanced 6,8-Diarylated Dibromodibenzo[a,j]Phenazines via Pd-Catalyzed C─H Arylation and Skeletal Rearrangement"
Naohiro Namba, Norimitsu Tohnai, Satoshi Minakata*, and Youhei Takeda*
Asian J. Org. Chem. 2025, 14, e70211/1–5. DOI:10.1002/ajoc.70211
*Open-access article"!
*Invited as a part of a Honorary Collection on "In Memory of Professor Masahiko Iyoda"!

論文概要: 本研究では、6,8-位にジアリール置換基を有する新規なジブロモジベンゾ[a,j]フェナジン(DBPHZ)の合成について報告する。これら新規なDBPHZ類は、適切に官能基化されたビナフタレンジアミン類の位置選択的なC–Hアリール化と酸化的骨格転位反応とを組み合わせることで合成が可能となった。用いたC-Hアリール化反応は、ブロモ基に対して高い官能基許容性を示すことが明らかとなった。これにより、例えばフェニル基、t-ブチルフェニル基、3,5-ジメチルフェニル基など、様々なアリール置換基を有するジブロモDBPHZの合成が可能であることがわかった。X線結晶構造解析の結果、ジアリールユニットはDBPHZ骨格に対してねじれた構造をとることが明らかとなった。さらに、合成したジブロモDBPHZ類の有機溶媒への溶解性を調査したところ、アルキル基を有するアリール基を導入した場合において、トルエンやクロロホルムなどの汎用溶媒に対する溶解性がDBPHZよりも著しく高いことが確認された。本合成においてジブロモ置換基が合成の最終段階まで保持されることから、今回合成したDBPHZ類はπ共役拡張型の有機機能性材料を構築するための有用な合成ビルディングブロックとして今後の活用が期待される。
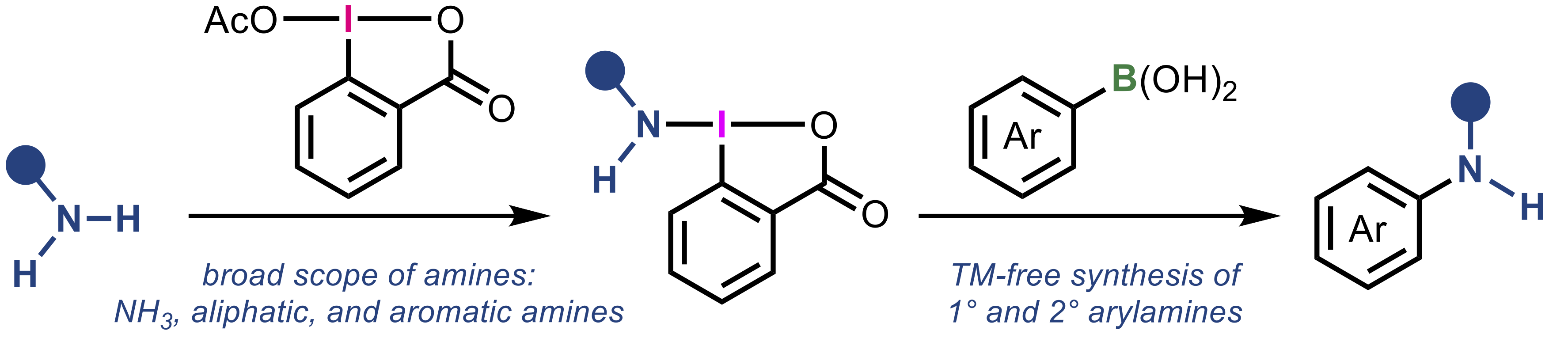
“Versatile method for the synthesis of aminobenziodoxolones and its application to one-pot coupling of arylboronic acids with simple amines"
Kazuki Kawanaka, Shunsuke Narita, Kensuke Kiyokawa*, and Satoshi Minakata*
Chem. Sci. 2025, 16, 19389–19396. DOI:10.1039/D5SC06301A
*Open-access article"!

論文概要: 本研究では、様々な窒素官能基を有する超原子価ヨウ素化合物(アミノベンズヨードキソロン)の合成において、単純なアミンを直接用いる簡便な合成手法を開発した。本手法では、アンモニアや種々の脂肪族および芳香族アミンが利用可能であり、それぞれ対応するアミノベンズヨードキソロンを効率よく合成することに成功した。合成したヨウ素反応剤は、アリールボロン酸の酸化的アミノ化反応に活用でき、遷移金属を用いることなく広範な芳香族アミンを合成することができた。また、15N標識された芳香族アミンの合成にも展開でき、その汎用性と実用性を示すことができた。
“Nitrogen-Centered Radical-Directed C(sp3)−H Amination and Aminoalkylation Using (Diarylmethylene)amino Benziodoxolones"
Kensuke Kiyokawa*, Mari Sugimura, Megumi Abe, Daiki Wada, Hikaru Kaneba, and Satoshi Minakata*
ChemistryEurope 2025, 3, e202500188/1–7. DOI:10.1002/ceur.202500188
*Open-access article"!

論文概要: 本研究では、可視光照射下において、超原子価ヨウ素反応剤であるジアリールメチレンアミノベンズヨードキソロン(DABX)を用いた、アミノオキシ酸誘導体に対する分子間C(sp3)−Hアミノ化反応を開発した。本アミノ化は、基質中の窒素原子のδ位で選択的に進行し、1,4-ジアミンを効率的に合成できる。さらに、アルケンの共存下では、δ位でアミノアルキル化が進行し、1,6-ジアミン骨格の構築も可能であった。このように、本手法により、従来合成が困難であったものの、有用な分子構造を有する各種ジアミン類を効率的に合成することが可能である。
“Iodine-Catalyzed Stereospecific anti-Diamination of trans-β-Methylstyrene"
Takeshi Sugiyama, Chiyuki Naito, and Satoshi Minakata*
Org. Synth. 2025, 102, 203–216. DOI:10.15227/orgsyn.102.0203
*Open-access article"!

論文概要: 本研究では、ヨウ素触媒と次亜塩素酸ナトリウム五水和物を用いて、trans-β-メチルスチレンの立体特異的なanti-ジアミノ化を高選択的かつ高収率で達成する環境調和的な合成法を開発した。
“Photoinduced Azidoamination of Styrenes Using Sodium Azide and (Diphenylmethylene)amino Benziodoxolone"
Kensuke Kiyokawa*, Koki Nakano, Daichi Okumura, and Satoshi Minakata*
Chem. Asian J. 2025, 20, e202401493/1–4. DOI:10.1002/asia.202401493





